• Skip to primary navigation
  • Skip to main content
  • Skip to primary sidebar
  • Skip to footer

BetterCE

Insurance Continuing Education for Insurance Agents

Call Us Today! 1-888-501-7330

  • Log In
  • Register
  • Cart
  • HOME
  • ABOUT US
  • COURSE CATALOG
  • BLOG
  • CONTACT US

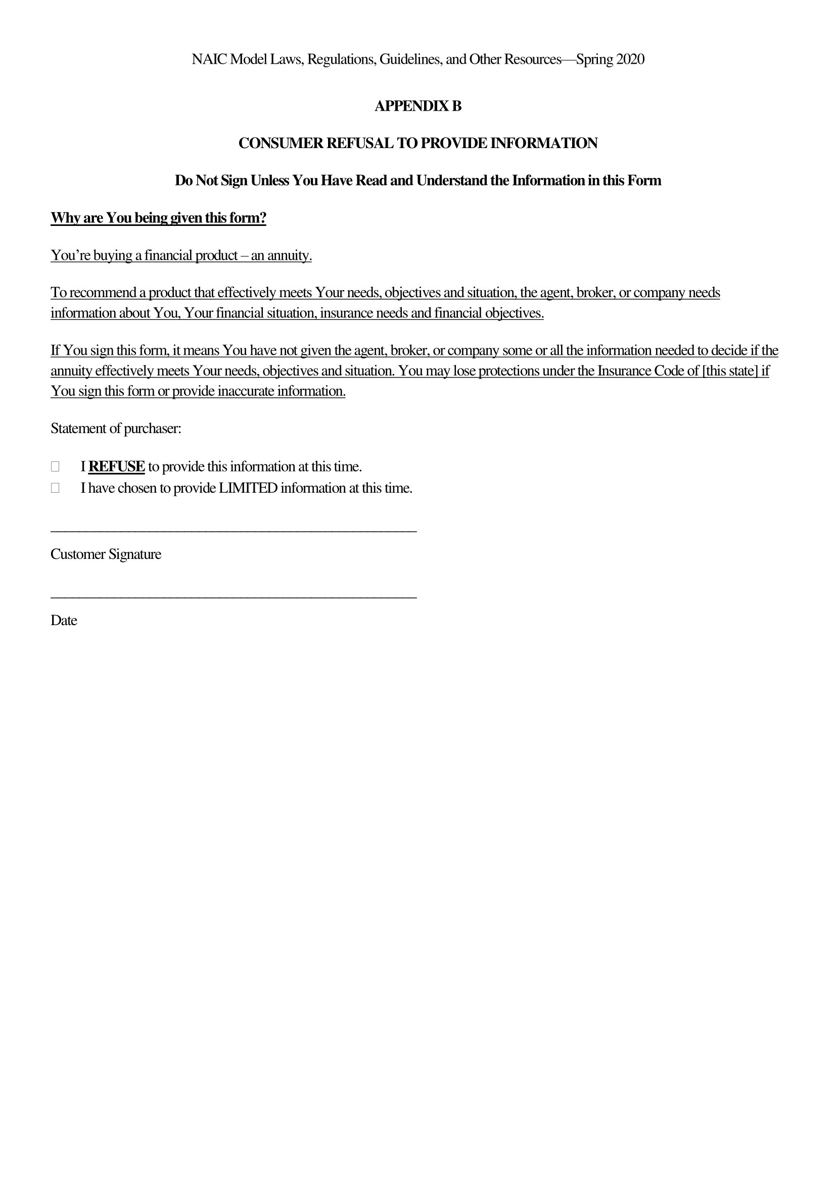
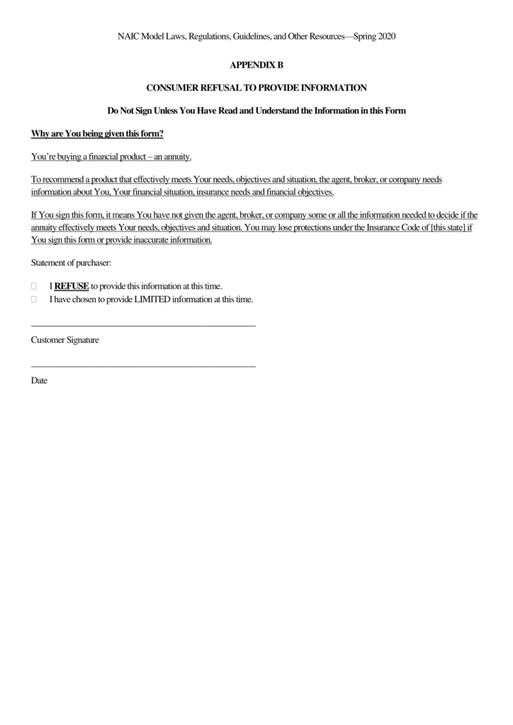
APPENDIX B

Posted on 07.21.22

sidebar

Blog Sidebar

  • LOG IN
  • COURSE CATALOG
  • CONTACT US
  • LICENSE REQUIREMENTS

Footer

BetterCE Logo
Northside Tower Building
6065 Roswell Road
Atlanta, GA 30328
1-888-501-7330
info@betterce.com

 

LinkedinFacebookYoutube
  • Course Catalog
  • Course Delivery Description
  • Course Catalog
  • Privacy Policy
  • Refund Policy
  • Course Reporting

Merchant Services
BetterCE Risk Free Policy
  • Home
  • Testimonials
  • Contact Us
  • Sitemap

© 2026 BetterCE, All Rights Reserved